A new journal is born!

We are proud to announce the launch of Internet Interventions: The application of information technology in mental and behavioural health, a new Open Access journal that will provide a new home for high quality manuscripts in the field of Internet Interventions. The Internet is increasingly used for delivering interventions aimed at improving mental and physical … Läs mer!

Ny tidskrift är född!

Under den första konferensdagen av den europeiska föreningen för internetbehandlingar lanserades en ny tidskrift. Den ligger hos det stora förlaget Elsevier och kommer att vara en så kallad open access tidskrift. Det betyder att samtliga artiklar kommer att vara gratis att läsa och helt fritt tillgängliga för alla med en internetuppkoppling. Att publicera i en … Läs mer!

New paper: Internet-delivered therapist-guided physical activity for depression

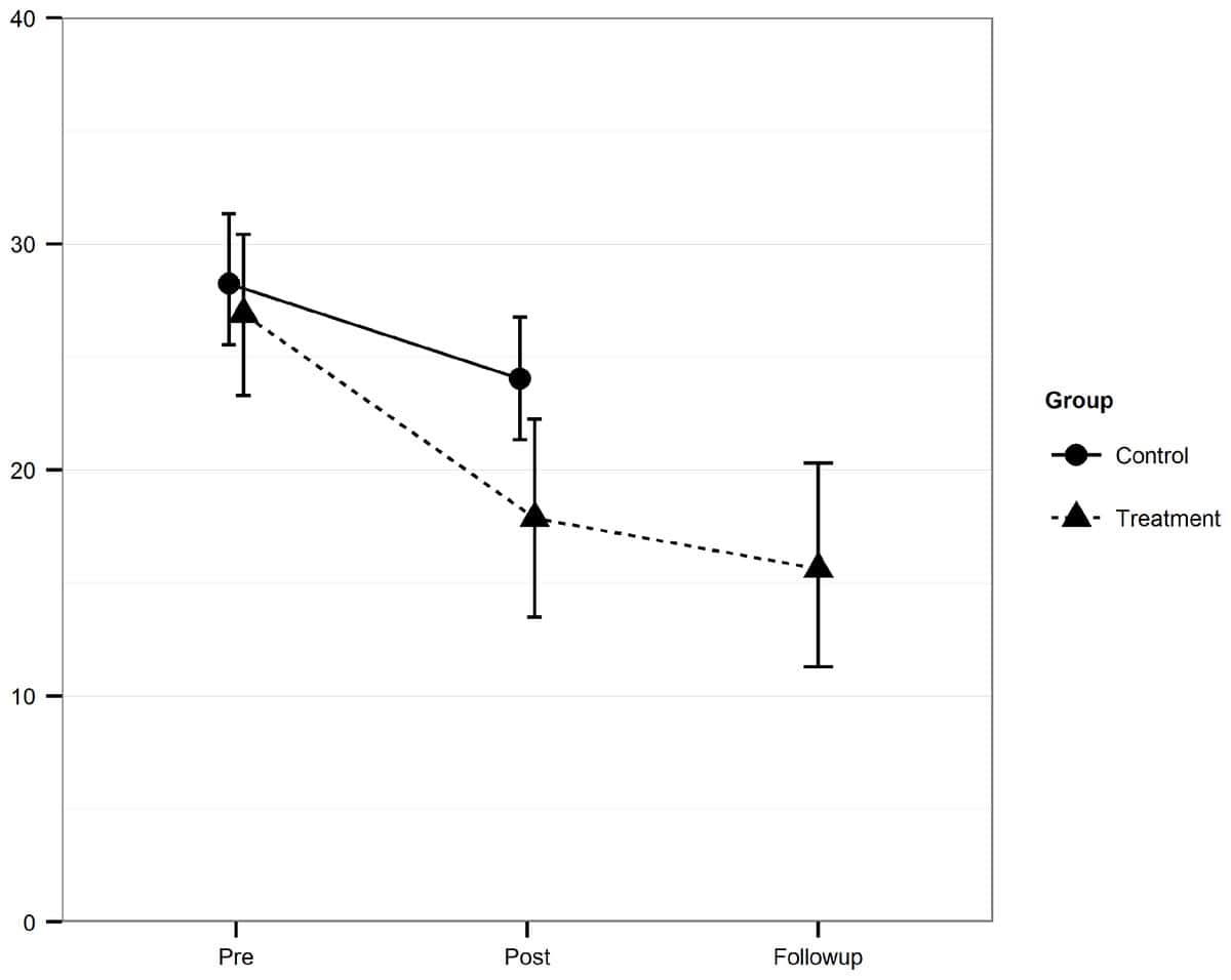
Is physical activity delivered via the internet (!) effective in treating mild to moderate depression? We jsut did a trial and the results was just published in an open access paper entitled: “Internet-delivered therapist-guided physical activity for mild to moderate depression: a randomized controlled trial“. Objective The main hypothesis, and the objective of the study, … Läs mer!

Ny studie: Fysisk aktivitet mot depression

Kan fysisk aktivitet hjälpa mot nedstämdhet? Ja, om man får tro en ny artikel vi precis publicerat. Titeln är “Internet-delivered therapist-guided physical activity for mild to moderate depression: a randomized controlled trial“. Syftet med studien var att undersöka om deltagare som slumpas till en behandlingsgrupp skulle visa en större reduktion av depressiva symtom än de … Läs mer!

Princess Madeleine of Sweden likes the ESRII

Today the second annual conference of the European Society for Research on Internet Interventions opens. During the two days more than 70 presentations will be held at Linköping university. Professor Gerhard Andersson and Professor Per Carlbring are the conference chairs, and H.R.H. Princess Madeleine of Sweden is the official festival patron. Some parts of the conference … Läs mer!

Kungligt beskydd av konferens

Idag slår vi upp dörrarna för European Society for Research on Internet Interventions andra konferens. Under två dagar kommer över 70 presentationer att hållas där den gemensamma nämnaren är internetbehandlingar. Professor Gerhard Andersson och Professor Per Carlbring står som värdar för konferensen som har fått H.K.H Prinsessan Madeleine som beskyddare. Vissa delar av konferensen kommer … Läs mer!

Ny doktorand – välkommen David Forsström!

Igår var första dagen för David Forsström som doktorand på Psykologiska institutionen vid Stockholms universitet. Välkommen som doktorand! Den övergripande forskningsfrågan i doktorandprojektet är: Hur används och presterar spelansvarsverktyget Playscan och vilken effekt har det på spelares beteende? Spel om pengar har förekommit i många kulturer sedan lång tid. Man har gjort fynd av forntida … Läs mer!

A new PhD student starts today – welcome David Forsström!

Yesterday was the first day as a PhD student in our research group. Welcome to the team David Forsström! The main focus will be responsible gambling and we aim for 5 peer-reviewed publications. All of which will be based on data from Playscan. To be continued… [youtube]http://youtu.be/FYZ3YCoa8p8[/youtube]    

Just published: Internet-Based Attention Bias Modification for Social Anxiety: A Randomised Controlled Comparison of Training towards Negative and Training Towards Positive Cues

New paper published today: Internet-Based Attention Bias Modification for Social Anxiety: A Randomised Controlled Comparison of Training towards Negative and Training Towards Positive Cues Boettcher J, Leek L, Matson L, Holmes EA, Browning M, et al. (2013) Internet-Based Attention Bias Modification for Social Anxiety: A Randomised Controlled Comparison of Training towards Negative and Training Towards Positive Cues. PLoS ONE 8(9): e71760. doi:10.1371/journal.pone.0071760 Abstract Biases in attention … Läs mer!

Ny artikel: Internet-Based Attention Bias Modification for Social Anxiety: A Randomised Controlled Comparison of Training towards Negative and Training Towards Positive Cues

Ny artikel publicerad idag! Mer info kommer under dagen… Internet-Based Attention Bias Modification for Social Anxiety: A Randomised Controlled Comparison of Training towards Negative and Training Towards Positive Cues Boettcher J, Leek L, Matson L, Holmes EA, Browning M, et al. (2013) Internet-Based Attention Bias Modification for Social Anxiety: A Randomised Controlled Comparison of Training towards Negative and Training Towards Positive Cues. PLoS … Läs mer!